Welcome toNamgong city advanced gas equipment ltd
Online Consultation
简体中文
English
Service Hotline
18730946974
Home
Video
Company Profile
Company News
Honors & Qualifications
Contact Us
Contact Us
Friendly Links
HOT
Hot Searches:
视频
Online Store
公司新闻
荣誉资质
友情链接
CATEGORY
Company Profile
Honors & Qualifications
Service Hotline
18730946974
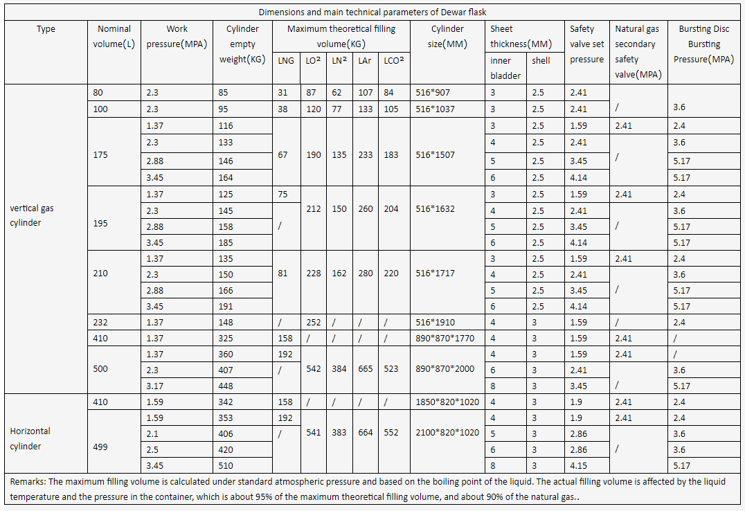
液氧液氮液氩液化天然气焊接气瓶 二氧化碳工业气体杜瓦瓶
Location
Hebei Xingtai City
Last Updated
2026-04-15
Details
Related Products
Welded gas cylinders of liquid oxygen, liquid nitrogen, liquid natural gas, carbon dioxide industria
18730946974