Summary of response:
Chichibabin reaction, zizibabin reaction, means the chemical reaction of 2-amino-thylene when aminosol is treated with ammonia. This reaction was discovered in 1914 by the former soviet chemist zizibabin。
Carbide, which reacts with ammonia heating with alkaline metals, receives corresponding amino derivatives, e. G. Thallium and sodium sodium reacts to produce 2-aminoazine, or gamma-aminoazine if it has been taken over, with a low yield。
The act is a simple and effective method of introducing ammonia into the rings and is widely applicable to aerobics of all kinds, such as benzopropramite, amphibian, thallium and fluoride compounds. The reaction of thallium, thallium, thallium and thallium compounds is more difficult. Aminochemical reagents can be replaced with alkaline metal aminochemicals, in addition to amino sodium and potassium amino。
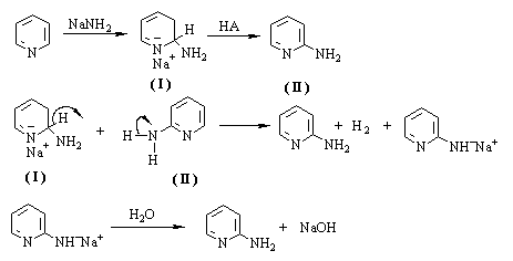
Response mechanism:
The response mechanism is not yet clear, and may be the first to add (i), (i) to the argon (ah), (i) to transfer a negative hydrogen ion to the proton giving body (ah), (ii) to produce a molecule of hydrogen gas and to form a small amount of 2-aminothylene (ii), which in turn can be given as a proton, and (ii) to be produced as a sodium salt of 2-aminodium, which is broken down by water:

Examples of responses:
Zirconium compounds are not easily nitrified, and the use of nitro-reducing the legal system for the preparation of aminopyridium is difficult. This reaction is a simple and effective method for introducing ammonia on the rings, and it is widely applied to aerobics, such as benzopropramite, amphibian, thallium and pipium compounds。




