Electromagnetics are temporary magnets whose magnetic fields are generated by currents, and for the purpose of centralizing the magnetic fields, the electromagnetic lines are looped。
We now know from the previous tutorial that a direct fluid conductor produces a circular magnetic field around all points in its length, and that the direction of this magnetic field depends on the current direction of the conductor, i. E. The left-hand rule。
In the last course on electromagnetics, we see that if we bend the conductor into a single ring, the current will flow in the opposite direction through the ring, producing a clockwise needle and a counterclockwise needle. Using this principle, the electromagnetic magnets form a loop by connecting several separate rings to each other。
Electromagnetics are essentially coiled, and when currents pass through the coil they act as bar-shaped magnets with visible arctic and antarctic. Each single loop produces a static magnetic field that is combined with its adjacent ring, and the combined magnetic field is concentrated at the centre of the ring, as we saw in the last lesson. The resulting static magnetic field has an arctic at one end, an antarctic at the other, is even and the centre of the online circle is much stronger than the outside。
Power lines around the electromagnetics

Electromagnetic circle
The resulting magnetic field stretches in the form of barbed magnets, giving a unique arctic and antarctic, with magnetic fluxes proportional to the flow of electricity in the coil. Magnetic field strength will increase if additional guidance layers are rounded up in the same circle and the same current flows。
Thus, it can be seen that the magnetic fluxes available in any given magnetic circuit are proportional to the number of conductors through its currents and circuits. This relationship is referred to as a magnetic movement or m. M. F. And is defined as:
Magnetic motion equation
Magnetic motion is expressed as current i through n-wire. Thus, the magnetic field strength of the electromagnetic magnet is determined by the number of amperidians in the coil, the more the conductors in the coil, the greater the magnetic field。
Magnetic strength of electromagnetics
We now know that when two adjacent conductors flow, magnetic fields are built in the direction of current flows. The interaction between the two fields resulted in mechanical force on the two carriers。
When the current flows in the same direction (on the same side of the circle), the field between the two conductors is weak, resulting in attraction, as shown in the figure above. Similarly, when electricity flows in the opposite direction, the field between them becomes stronger and the conductor is excluded。
The field strength around the conductor is proportional to the distance, with the strongest point next to the conductor and the weaker the distance from the conductor. In the case of individual directs, flow of currents and distance are factors determining the strength of the field。
Thus, the formula for calculating “magnetic field strength” h (sometimes referred to as “magnetic strength”) is derived from its currents and distances。
The magnetic field strength of the electromagnetic magnet

The magnetization of electromagnetics
Of which:
H – magnetic field strength in ampee-thing/m, at/m
- it's the number of rings
I – it's a current through the wire, in amber, a
L – the length of the coil, in millimetres,m
In summary, the strength or intensity of the coil magnetic field depends on the following factors。
The number of threads in the circle。
The flow of electricity in the ring。
Type of core material。
The strength of the electromagnetic field also depends on the type of core material used, since the main purpose of the core is to concentrate magnetic fluxes on a clear and predictable path. So far, only the air core (empty) coil has been considered, but the introduction of other materials into the core (centre of the ring) has had a significant control effect on magnetic field strength。
Electromagnetic

Electromagnetized with nails
If materials are non-magnetic, such as wood, they can be considered free space for computing purposes because they have very low magnetic conductivity values. However, if the core material is made of iron and magnetic material (e. G. Iron, nickel, cobalt or their alloy mixtures), significant differences in magnetic flux density around the coil will be observed。
Iron and magnetic materials are those that can be magnetized, usually made of soft iron, steel or various nickel alloys. The introduction of this type of material into magnetic circuits has the effect of centralizing magnetic fluxes, making them more concentrated and dense and magnifying the magnetic field generated by currents in the coil。
We can prove this by placing a lead line around a big soft nail and connecting to batteries, as shown in the figure. This simple classroom experiment allows us to pick up a lot of clips or pins, and we can make the electromagnets stronger by adding more numbers to the online loop. The extent of this magnetic field strength, whether through the hollow air core or through the introduction of electromagnetic materials into the core, is referred to as magnetic conductivity。
Magnetic conductivity of electromagnetics
If a core of different materials of the same physical size is used in electromagnetics, the strength of the magnet will vary according to the core material used. The change in the strength of the magnetic field is due to the number of magnetic fluxes through the centre core. If magnetic material has a high magnetic conductivity, the magnetic flux line can be easily generated and passed through the central core, which (m) is an easy measure of magneticity。
Numerical constants of magnetic conductivity for vacuums are given: mio = 4. O. 10-7 h/m, and relative magnetic conductivity for free space (vacuum) is usually given a value of one. This value is used as a reference in all calculations involving magnetic conductivity, and all materials have their specific magnetic conductivity values。
The problem with the use of magnetic conductivity only for different cores of iron, steel or alloy is that the calculations involved may become very large and therefore it is easier to define materials through their relative magnetic conductivity。
In relative magnetic conductivity, the symbol μr is the product of the magnetic conductivity of the μ (absolute magnetic conductivity) and mio free space, as given。
Relative magnetic conductivity

Relative magnetic guide equation
Materials with a slightly lower magnetic conductivity than free space (vacuum) and a weak negative magnetization of the magnetic field are referred to as anti-magnetic materials such as water, copper, silver and gold. Materials with a slightly higher magnetic conductivity than free space and which themselves are only slightly attracted by the magnetic field are referred to as magnetic material, such as gas, magnesium and tantalum。
Example electromagnet no1
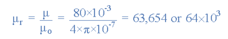
The absolute magnetic conductivity of soft iron cores is 80 mh/m (80. 10-3). Calculates the relative magnetic conductivity value of the equivalent。

Relative magnetic conductivity
When the iron magnetic material is used at the core, the magnetic field strength can be better understood by using a relative magnetic conductivity. For example, the relative magnetic conductivity of vacuum and air is one, while the relative magnetic conductivity of the iron core is about 500, so we can say that the field strength of the iron core is 500 times greater than that of the equivalent hollow air cycle, a relationship that is easier to understand than 0. 628 x 10-3 h/m (500. 4. En. 10-7)。
While there may be only one magnetic conductivity in air, some iron oxygen and slope molybdenum materials can have a magnetic conductivity of 10,000 or more. However, the level of magnetic field availability is limited, as the core becomes significantly saturated as magnetic flux increases, which will be discussed in the next course on b-h curves and magnetism。





